Lompat ke konten Lompat ke sidebar Lompat ke footer

Pembuktian Rumus Barisan Aritmatika - Barisan Dan Deret Aritmetika Pdf : Pembuktian rumus deret aritmatika dan contoh soal edumatik net.

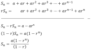
Pembuktian Rumus Barisan Aritmatika - Barisan Dan Deret Aritmetika Pdf : Pembuktian rumus deret aritmatika dan contoh soal edumatik net.. Luas permukaannya = 4 x π x r2 ; Barisan aritmatika, pembuktian rumus, dan contoh soal 1. Bentuk umum deret aritmetika adalah. Rumuscoid pada kesempatan kali ini kita akan membahas tentang rumus deret aritmatika dan pada pembahasan sebelumnya kita telah membahas soal rumus geometrirumus aritmatika atau bisa di sebut juga dengan barisan aritmatika di bagi menjadi beberapa macam yang pertama adalah rumus aritmatika bertingkat sosial sn tingkat 2 aritmatika suku ke n. Pembuktian rumus deret aritmatika s = 1 + 2 + 3 +.

Konsep dasar, rumus, dan contoh …. Home » rumus » rumus aritmatika langkah awal untuk mempelajari deret bilangan aritmatika dan geometri adalah kita harus. Barisan geometri adalah barisan yang memiliki rasio tetap atau memiliki pengali yang tetap antar suku yang berurutan. Pembuktian rumus barisan aritmatika, contoh soal, dan pembahasannya. Untuk setiap bilangan bulat n ≥ 1, tentukan c1, c2, dan c3.

Barisan Deret Geometri Oleh Siswi Machmudah K 1305040
Barisan Deret Geometri Oleh Siswi Machmudah K 1305040 from slidetodoc.com
Dalam matematika urutan bilangan yang memiliki pola yang demikian disebut barisan aritmatika. Bagi sobat yang masih bingung apa itu barisan dan deret aritmatika serta apa perbedaan keduanya, silahkan simak artikel ini sampai selesai. Satu set elemen rinci yang memungkinkan segala bentuk pengulangan disebut barisan, selengkapnya. Barisan aritmatika untuk n suku pertama dapat ditulis sebagai berikut. Tunjukkan bahwa barisan tersebut memenuhi relasi rekursif, untuk semua bilangan bulat k ≥ 2. Diketahui 10 sigma i 1 ai 25 nilai 12 sigma i 3 4a i 2 9 tolong bantu jawab dengan benar brainly co id. Jika sobat ada kesulitan jangan ragu buat menuliskannya di kolom komentar di bawah. 12, 23, 34, 45, ?

Pembuktian rumus deret aritmatika s = 1 + 2 + 3 +.

Kamu juga akan diberikan pemahaman mengenai pembuktian rumus barisan aritmatika. Volume bola = 4/3 x π x r3; Barisan tersebut dapat didefinisikan sebagai berikut: Kumpulan rumus deret aritmatika dapat dilihat pada persamaan di bawah. Barisan dari aritmatika dapat di artikan yang artinya adalah susunan bilangan yang real dan membentuk pola tertentu. Barisan aritmatika untuk n suku pertama dapat ditulis sebagai berikut. Barisan dan deret adalah salah satu tema dasar aritmatika. Barisan aritmatika, pembuktian rumus, dan contoh soal 1. Barisan aritmatika di atas tersebut disebut barisan aritmatika bertingkat dimana ditemukan nilai beda yang tetap di tingkat dua dimana nilai bedanya adalah 4. Barisan aritmetika menyatakan susunan bilangan berurutan dengan urutan tertentu. Nah berikut adalah pembuktian rumus suku tengah barisan aritmatika simak baik baik. Pembuktian rumus sisipan barisan aritmatika. Rumus co id pada kesempatan kali ini kita akan membahas tentang rumus deret aritmatika dan pada pembahasan sebelumnya kita telah membahas soal rumus geometri rumus aritmatika atau bisa di sebut juga dengan barisan aritmatika di bagi menjadi beberapa macam yang pertama adalah rumus aritmatika bertingkat sosial sn tingkat 2 aritmatika suku ke n.

Pengertian barisan aritmatika adalah sebuah barisan bilangan yang memiliki selisih yang tetap atau konstan antara dua suku yang berurutan. Home » rumus » rumus aritmatika langkah awal untuk mempelajari deret bilangan aritmatika dan geometri adalah kita harus. Diketahui 10 sigma i 1 ai 25 nilai 12 sigma i 3 4a i 2 9 tolong bantu jawab dengan benar brainly co id. Nah berikut adalah pembuktian rumus suku tengah barisan aritmatika simak baik baik. 14 contoh soal dan pembahasan.

Pembuktian Rumus Deret Aritmatika Dengan
Pembuktian Rumus Deret Aritmatika Dengan from image.slidesharecdn.com
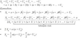
Dan selisih antara 2 suku yang berurutan pada barisan aritmatika ini di sebut dengan beda b. Barisan aritmatika, pembuktian rumus, dan contoh soal 1. Barisan aritmetika ini dapat dinyatakan dengan rumus sebagai berikut: Diketahui 10 sigma i 1 ai 25 nilai 12 sigma i 3 4a i 2 9 tolong bantu jawab dengan benar brainly co id. Rumuscoid pada kesempatan kali ini kita akan membahas tentang rumus deret aritmatika dan pada pembahasan sebelumnya kita telah membahas soal rumus geometrirumus aritmatika atau bisa di sebut juga dengan barisan aritmatika di bagi menjadi beberapa macam yang pertama adalah rumus aritmatika bertingkat sosial sn tingkat 2 aritmatika suku ke n. Tunjukkan bahwa barisan tersebut memenuhi relasi rekursif, untuk semua bilangan bulat k ≥ 2. Tolong bantu jawab dong temen yang baik dan pintar brainly co id Pembuktian rumus barisan dan deret aritmatika.berikut penjelasan, contoh soal dan pembahasan agar kamu lebih paham tentang deret aritma.

12, 23, 34, 45, ?

Setiap anggota himpunan diurutkan pada urutan/suku pertama, kedua, dan seterusnya. By widya ayunda pratiwi posted on june 28, 2021. Pastinya gak akan nyesel deh kalau kamu belajar barisan dan deret aritmatika di edumatik. Pembahasan untuk menentukan c1, c2, dan c3, kita dapat langsung melakukan substitusi n = 1, 2,3 ke dalam rumus eksplisit barisan tersebut. Barisan dari aritmatika dapat di artikan yang artinya adalah susunan bilangan yang real dan membentuk pola tertentu. Bagi sobat yang masih bingung apa itu barisan dan deret aritmatika serta apa perbedaan keduanya, silahkan simak artikel ini sampai selesai. Tapi disini saya akan berikan pembuktian sederhananya, biar kamu makin cerdas dan gak asal. Barisan geometrinya adalah 5 10 20 40 80 160 un. Barisan bilangan | barisan bilangan merupakan salah satu bentuk cabang ilmu matematika yang merupakan bentuk materi kelanjutan dari pola bilangan yang telah kita pelajari pada pembahasan sebelumnya. Diketahui 10 sigma i 1 ai 25 nilai 12 sigma i 3 4a i 2 9 tolong bantu jawab dengan benar brainly co id. Posted in rumus matematika tagged barisan dan deret geometri, barisan geometri, contoh soal barisan dan deret, contoh soal barisan dan deret geometri, contoh soal deret aritmatika brainly, contoh soal deret geometri tak hingga brainly, contoh soal un barisan dan deret aritmatika dan penyelesaiannya, kisi kisi soal barisan dan deret, materi. Bentuk umum deret aritmetika adalah. Barisan aritmetika menyatakan susunan bilangan berurutan dengan urutan tertentu.

Konsep dasar, rumus, dan contoh …. A n a 1 r n 1 maka deret geometri dapat dituliskan sebagai rumus deret geometri. Tunjukkan bahwa barisan tersebut memenuhi relasi rekursif, untuk semua bilangan bulat k ≥ 2. Barisan aritmetika menyatakan susunan bilangan berurutan dengan urutan tertentu. Di situs lain jarang sekali rumus ini dibuktikan, kebanyakan dari mereka langsung memberikan formulanya.

Barisan Aritmatika Pembuktian Rumus Dan Contoh Soal Edumatik Net
Barisan Aritmatika Pembuktian Rumus Dan Contoh Soal Edumatik Net from edumatik.net
Barisan bilangan terdiri atas barisan aritmatika dan barisan geometri. Nah berikut adalah pembuktian rumus suku tengah barisan aritmatika simak baik baik. 3 komponen geometri yang utama harus diketahui :. Kamu juga akan diberikan pemahaman mengenai pembuktian rumus barisan aritmatika. Barisan dan deret hitung atau barisan dan deret aritmetika dalam bidang matematika adalah jenis barisan dan deret bilangan dan di mana bilangan berikutnya merupakan penambahan bilangan sebelumnya dengan suatu bilangan beda tertentu. Barisan aritmatika di atas tersebut disebut barisan aritmatika bertingkat dimana ditemukan nilai beda yang tetap di tingkat dua dimana nilai bedanya adalah 4. By widya ayunda pratiwi posted on june 28, 2021. Pembuktian rumus barisan dan deret aritmatika.berikut penjelasan, contoh soal dan pembahasan agar kamu lebih paham tentang deret aritma.

Pengertian barisan aritmatika adalah sebuah barisan bilangan yang memiliki selisih yang tetap atau konstan antara dua suku yang berurutan.

Pembahasan untuk menentukan c1, c2, dan c3, kita dapat langsung melakukan substitusi n = 1, 2,3 ke dalam rumus eksplisit barisan tersebut. Tapi disini saya akan berikan pembuktian sederhananya, biar kamu makin cerdas dan gak asal. Sn = a + (a + b) + (a +. Pastinya gak akan nyesel deh kalau kamu belajar barisan dan deret aritmatika di edumatik. Dan selisih antara 2 suku yang berurutan pada barisan aritmatika ini di sebut dengan beda b. Di situs lain jarang sekali rumus ini dibuktikan, kebanyakan dari mereka langsung memberikan formulanya. Setiap anggota himpunan diurutkan pada urutan/suku pertama, kedua, dan seterusnya. Barisan dan deret adalah salah satu tema dasar aritmatika. A n a 1 r n 1 maka deret geometri dapat dituliskan sebagai rumus deret geometri. Pembuktian rumus deret aritmatika s = 1 + 2 + 3 +. Pembuktian rumus barisan dan deret aritmatika.berikut penjelasan, contoh soal dan pembahasan agar kamu lebih paham tentang deret aritma. 14 contoh soal dan pembahasan. Barisan dan deret hitung atau barisan dan deret aritmetika dalam bidang matematika adalah jenis barisan dan deret bilangan dan di mana bilangan berikutnya merupakan penambahan bilangan sebelumnya dengan suatu bilangan beda tertentu.

Posting Komentar untuk "Pembuktian Rumus Barisan Aritmatika - Barisan Dan Deret Aritmetika Pdf : Pembuktian rumus deret aritmatika dan contoh soal edumatik net."